Помогите срочно! Нужно навалять простую программу в матлабе. Сам нихрена не понимаю, поэтому обращаюсь!
Показать текст сообщения полностью
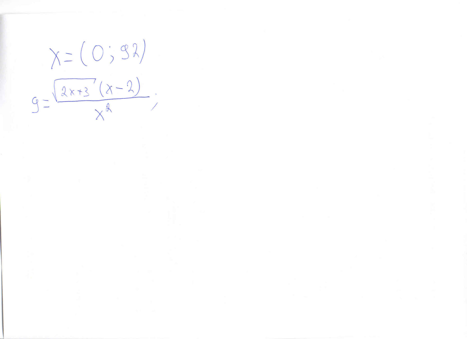
Задача: "Надо написать программу в мат лабе и построить график где х принимает значения от 0 до 92". Формула во вложенном файле![]()
